Melatonin vs Serotonin

  • FB Share
  • Vikas Kumar

    Oct 3rd, 2017

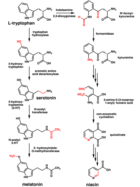
The precursor to melatonin is serotonin, a neurotransmitter that itself is derived from the amino acid tryptophan. Within the pineal gland, serotonin is acetylated and then methylated to yield melatonin. Serotonin and melatonin are both hormones that regulate various human functions such as sleep, appetite and mood. Serotonin, which is produced in the body, is known as a neurotransmitter; this means it is responsible for sending messages between nerve cells. Melatonin is a neurotransmitterlike substance that plays a vital role in regulating circadian rhythms, which in turn control sleeping patterns, hormone release and body temperature, among many other human functions. Key Diferences between Melatonin and serotonin: While serotonin has many important functions in the body, it may be most known for its role as a “feel good” hormone. Increased levels of serotonin are associated with feelings of happiness and relaxation. Low serotonin levels, on the other hand, are linked to weakened immune function and depression. Melatonin is most noted for its role as a sleep hormone. It is produced in the pineal gland in the brain when it's dark outside -- thus its nickname, “the hormone of darkness.” Deficiencies in this hormone can cause sleeplessness, among many other side-effects. Disorders: Melatonin is used as a treatment for insomnia, delayed sleep phase syndrome (DSPS), jet lag and insomnia associated with attention deficit-hyperactivity disorder (ADHD). It is also used for other conditions, including chronic fatigue, depression, irritable bowel syndrome and anti-aging, though there is no scientific evidence supporting these uses. Serotonin-affecting compounds are primarily used as treatments for depression. Prescription drugs known as selective serotonin re-uptake inhibitors (SSRIs) stop serotonin from being reabsorbed, which elevates serum serotonin levels and can improve depression symptoms. Too much serotonin can also cause problems. Serotonin syndrome is a life-threatening condition that can occur when more than one drug that affects serotonin levels is ingested.

Author

Vikas Kumar

Vikas Kumar

Dr. Vikas did Masters, M. Phil. & Ph.D. from Delhi University. He was one of the gold medalists in the university during Masters in Zoology. He has published many research papers in drug designing & development. He is Assistant Professor in the University of Delhi. He believes in educating and not just teaching his students and enable them by inculcating scientific temperament to solve challenges in the field of Animal sciences.